数学II・B第1問 | 2002年度大学入試センター試験 - JS日本の学校

続きは会員の方のみご利用いただけます
(登録無料、利用無料)

友の会 会員(無料)のメリット

会員限定の進学に役立つ情報を見ることができる!
高校生向け

高校生向け

  • 無料 英語映像授業
  • 大学入学共通テスト問題&解答
  • 入試検索

ほか多数!!

進学に役立つ情報が
メールで届く!

入試の情報、受験お役立ち情報など、進学に役立つ情報をメールでお届けします。

住所などの入力の手間が省ける!
会員登録情報は、JSコーポレーションが運営する以下のサイトでご利用いただけます。
学校情報「日本の学校」
塾情報「日本の塾」
塾アルバイト情報「日本の塾アルバイト」
塾講師募集「日本の先生」
英語教室情報「英語教室情報」

2002年度 大学入試センター試験

自己採点できる!試験に挑戦できる!

数学II・B

第1問

第2問 第3問 第4問 第5問 第6問
(第3問~第6問は、このうち2問を選択して解答)
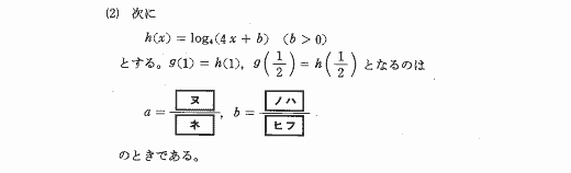
第 1 問
※試験時間は80分です
※「試験に挑戦してみる」をクリックすると、自動で答え合わせができる画面にいくよ。
試験に挑戦してみる解答を見る





> 他の教科の試験に挑戦してみる
ページの先頭へ

株式会社JSコーポレーション 代表取締役社長 米田英一